En Nariño serán otorgados 450 subsidios para vivienda rural
La Administración Departamental en un trabajo mancomunado con los municipios, logró gestionar cerca de 10 mil millones de pesos para construcción y mejoramiento de vivienda rural para población vulnerable.
La Gobernación de Nariño a través de la Oficina de Vivienda dio a conocer que el Ministerio de Agricultura y Desarrollo Rural (MADR) reveló el resultado del proceso de evaluación y calificación de las postulaciones realizadas por los municipios en el marco de las distribuciones departamentales de las bolsas nacional y víctima para la asignación de Subsidios de Vivienda de Interés Social Rural 2016.
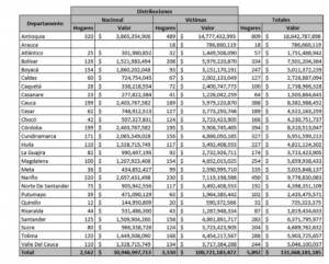
Los siguientes son los resultados a nivel nacional y por Departamento:
Donde se puede observar resultados positivos en la gestión adelantada de manera coordinada entre Gobernación de Nariño y los municipios, situación que permitió capitalizar 450 subsidios de vivienda rural para nuestro Departamento en las modalidades de construcción y mejoramiento de vivienda para población vulnerable, con una asignación total de $9.776.630.083, ubicándose el Departamento de Nariño como el segundo departamento después de Antioquia con mayor cantidad de recursos gestionados en materia de Vivienda Rural en la Convocatoria 2016.


